FAG BEARING

NNU41/560-M FAG roller bearings

FAG  double row cylindrical roller bearings comprise solid bearing rings and cylindrical roller and cage assemblies with solid cages.
The bearings are suitable for very high radial loads and high speeds. They are separable and are therefore easier to mount and dismount.
As a result, both bearing rings can be given a tight fit. All the designs described are non-locating bearings, since one of
the bearing rings in each case is without ribs.

Design 1 ■ Outer ring with three rigid ribs, inner ring without ribs,
lubrication groove and lubrication holes in the outer ring,
brass double comb cage
■ Bearings of dimension series 49 with standardised main
dimensions and designations, in some cases in tolerance
class P5, for high speed work rolls in rolling mills
■ Non-standardised bearings (Z-5..ZL) with normal accuracy
■ Application:
– for example in rolling mills and plastics calenders.
Design 2 ■ Outer ring with three rigid ribs, inner ring without ribs,
no lubrication groove and lubrication holes in the outer ring,
brass double comb cage
■ Bearings of series NNU41 or special bearings (Z-5..ZL)
■ Application:
– for example in grinding track mills.

Get A Quote
Contact Us

FAG Double row cylindrical roller bearings with cage

Various part numbers in stock, welcome inquiry. Fast shipment within 2-3 working days. 

 
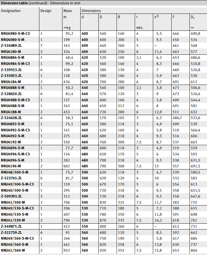
Dimension table (continued) · Dimensions in mm
Designation Design Mass Dimensions
m d D B
kg
NNU4980-S-M-C3 1 95,2 400 540 140
NNU4080-S-M 1 199 400 600 200
Z-526089.ZL 7 343 400 640 260
NNU4180-M 2 324 400 650 250
NNU4884-S-M 1 48,4 420 520 100
NNU4984-S-M-C3 1 99,2 420 560 140
Z-539553.ZL 6 108 420 580 130
Z-533053.ZL 1 128 420 580 160
NNU4184-M 2 434 420 700 280
NNU4888-S-M 1 50,2 440 540 100
Z-528620.ZL 6 81,4 440 570 120
NNU4988-S-M-C3 1 137 440 600 160
NNU4088-S-M 1 243 440 650 212
NNU4188-M 2 453 440 720 280
Z-524628.ZL 6 58,3 460 570 105
NNU4892-S-M 1 75,1 460 580 118
NNU4992-S-M-C3 1 141 460 620 160
NNU4092-S-M 1 275 460 680 218
NNU4192-M 2 550 460 760 300
NNU4896-S-M 1 77,7 480 600 118
NNU4996-S-M-C3 1 154 480 650 170
NNU4096-S-M 1 282 480 700 218
NNU4196-M 2 602 480 790 308
NNU48/500-S-M 1 75,7 500 620 118
Z-523745.ZL 6 81,7 500 620 120
NNU49/500-S-M-C3 1 159 500 670 170
NNU40/500-S-M 1 295 500 720 218
Z-509393.ZL 3 312 500 720 218
NNU41/500-M 2 706 500 830 325
NNU49/530-S-M-C3 1 206 530 710 180
NNU40/530-S-M 1 407 530 780 250
NNU41/530-M 2 796 530 870 335
Z-549875.ZL 1 452 550 800 260
Z-522739.ZL 6 91 560 680 120
NNU49/560-S-M-C3 1 246 560 750 190
NNU40/560-S-M 1 461 560 820 258
NNU41/560-M 2 952 560 920 355

WHCD Bearing Co.,Ltd is professional bearing supplier, engaged in bearing business with more than eighteen years, export to worldwide countries, as America, European, Middle-East, Southeast Asia …etc. with plenty long-term cooperation customers. WHCD Bearing company will provide professional and prompt solution for customers.Original Quality and Warranted, and Bearing experts team support customer service. Various bearing types for customer choose:  

Bearing Types:
Self-aligning ball bearing
Cylindrical roller bearing
Spherical roller bearing
Tapered roller bearing
Angular contact ball
Needle roller
Deep groove ball bearing
Axial deep groove ball
Pillow block bearing and units
LM/Linear Guide
Product Inquiry Form
Scroll to Top